Fact Sheet Meaning - A written document containing information for the public: A piece of paper or an electronic document giving information about a subject, especially (in the uk) one discussed on. Factsheets are frequently used to. A printed sheet containing information relating to items covered in a television or radio programme Definition of fact sheet noun from the oxford advanced learner's dictionary. A fact sheet is a short document with information about a particular subject, especially a summary of information that has been given on a radio or.
Factsheets are frequently used to. Definition of fact sheet noun from the oxford advanced learner's dictionary. A fact sheet is a short document with information about a particular subject, especially a summary of information that has been given on a radio or. A written document containing information for the public: A printed sheet containing information relating to items covered in a television or radio programme A piece of paper or an electronic document giving information about a subject, especially (in the uk) one discussed on.
A piece of paper or an electronic document giving information about a subject, especially (in the uk) one discussed on. A printed sheet containing information relating to items covered in a television or radio programme Definition of fact sheet noun from the oxford advanced learner's dictionary. A written document containing information for the public: A fact sheet is a short document with information about a particular subject, especially a summary of information that has been given on a radio or. Factsheets are frequently used to.
Meaning Of Fact Sheet
A fact sheet is a short document with information about a particular subject, especially a summary of information that has been given on a radio or. Factsheets are frequently used to. Definition of fact sheet noun from the oxford advanced learner's dictionary. A printed sheet containing information relating to items covered in a television or radio programme A written document.
What Is The Meaning Of A Fact Sheet at Kim Tonya blog
A written document containing information for the public: A fact sheet is a short document with information about a particular subject, especially a summary of information that has been given on a radio or. Definition of fact sheet noun from the oxford advanced learner's dictionary. A piece of paper or an electronic document giving information about a subject, especially (in.
Nutrition Fact Template & Example Free PDF Download
A printed sheet containing information relating to items covered in a television or radio programme Definition of fact sheet noun from the oxford advanced learner's dictionary. Factsheets are frequently used to. A piece of paper or an electronic document giving information about a subject, especially (in the uk) one discussed on. A written document containing information for the public:
Meaning Of Fact Sheet
Factsheets are frequently used to. A fact sheet is a short document with information about a particular subject, especially a summary of information that has been given on a radio or. A printed sheet containing information relating to items covered in a television or radio programme Definition of fact sheet noun from the oxford advanced learner's dictionary. A piece of.
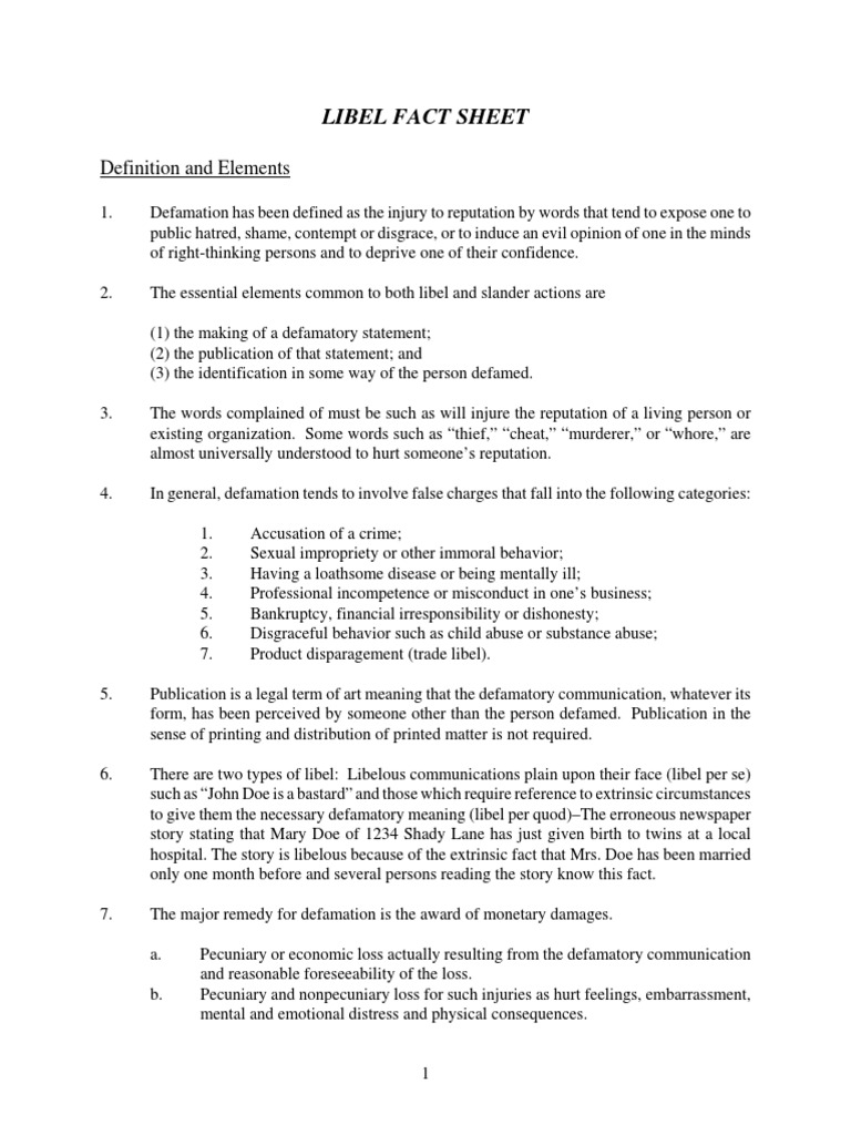
Libel Fact Sheet Definition and Elements PDF Defamation Ethical
Factsheets are frequently used to. A fact sheet is a short document with information about a particular subject, especially a summary of information that has been given on a radio or. A written document containing information for the public: A piece of paper or an electronic document giving information about a subject, especially (in the uk) one discussed on. Definition.
Meaning Of Fact Sheet
A written document containing information for the public: A fact sheet is a short document with information about a particular subject, especially a summary of information that has been given on a radio or. Factsheets are frequently used to. Definition of fact sheet noun from the oxford advanced learner's dictionary. A printed sheet containing information relating to items covered in.
Quick Facts Hesston College
A written document containing information for the public: Factsheets are frequently used to. Definition of fact sheet noun from the oxford advanced learner's dictionary. A printed sheet containing information relating to items covered in a television or radio programme A piece of paper or an electronic document giving information about a subject, especially (in the uk) one discussed on.
Meaning Of Fact Sheet
Factsheets are frequently used to. A written document containing information for the public: A printed sheet containing information relating to items covered in a television or radio programme A piece of paper or an electronic document giving information about a subject, especially (in the uk) one discussed on. A fact sheet is a short document with information about a particular.
Printable Autism Fact Sheet
A written document containing information for the public: Definition of fact sheet noun from the oxford advanced learner's dictionary. A fact sheet is a short document with information about a particular subject, especially a summary of information that has been given on a radio or. A piece of paper or an electronic document giving information about a subject, especially (in.
Meaning Of Fact Sheet
A piece of paper or an electronic document giving information about a subject, especially (in the uk) one discussed on. Definition of fact sheet noun from the oxford advanced learner's dictionary. A written document containing information for the public: A printed sheet containing information relating to items covered in a television or radio programme A fact sheet is a short.
A Piece Of Paper Or An Electronic Document Giving Information About A Subject, Especially (In The Uk) One Discussed On.
A fact sheet is a short document with information about a particular subject, especially a summary of information that has been given on a radio or. Definition of fact sheet noun from the oxford advanced learner's dictionary. A written document containing information for the public: Factsheets are frequently used to.








